In this lesson, we will discover a special rule that can be applied when you square a binomial.
In our last method, we studied the FOIL method for multiplying binomials. We can still apply the FOIL method when we square binomials, but we will also discover a special rule that can be applied to make this process easier. Let's take a look at Example 1.

Let's take a look at a special rule that will allow us to find the product without using the FOIL method.
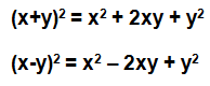
The square of a binomial is the sum of: the square of the first terms, twice the product of the two terms, and the square of the last term.
I know this sounds confusing, so take a look..

If you can remember this formula, it you will be able to evaluate polynomial squares without having to use the FOIL method. It will take practice.
Now let's take a look at Example 1 and find the product using our special rule.
Now let's take a look at another example. This time we are going to square a binomial, but this binomial will contain a subtraction sign.
For this example, we will not use FOIL, we will use our special rule!

Did you notice that the middle term is negative this time?
Let's quickly recap, and look at the definition for Squaring a Binomial. You might want to record this in your Algebra notes.

Are you ready to practice?



Great Job! Now you are ready to study a new special rule which is called the "Difference of Two Squares."

Need More Help With Your Algebra Studies?
Get access to hundreds of video examples and practice problems with your subscription!
Click here for more information on our affordable subscription options.
Not ready to subscribe? Register for our FREE Pre-Algebra Refresher course.
Comments
We would love to hear what you have to say about this page!